Braking from high speed is very different from braking from road legal speeds.
It is quite difficult at first to judge braking distances. We were supporting a sponsored day at RAF Waddington a couple of years ago, and the first two riders both went straight on at the end of the main straight (which was a mile or so long down the runway). They were nowhere near to getting stopped in time.
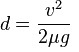
Braking follows a ‘square law’. Twice the speed = 4 times the stopping distance, so stopping from 60 mph takes 180 feet (using the usual parameters but ignoring reaction time), from 120 mph takes 720 feet, and on the same basis a whopping 1620 feet from 180 mph. Reaction time at this speed at an average 0.7 seconds equals another 200 feet on its own, and it still takes time on a track from deciding to brake, and pulling on the lever – it’s not instant.
Also braking hard from high speed requires a degree of control to keep the bike straight.
Modern bikes using track tyres can do better, but it means the forces on your body will exceed 1 g – i.e. worse than performing a handstand. We noticed James Ellison’s BSB Kawasaki had a carbon fibre ‘nose’ on the back of the tank to get wedged behind. Many modern bikes have cut outs for rider’s legs so you can hang off before a corner and get your thigh wedged behind the tank to take some weight off your arms.
Stomp grips are a good idea and also help when cornering. Club racers used to stick seat foam on the back of the tank before these were invented. Modern ‘tank pads’ can be a bit slippy, although some are made in soft rubber.
Road riders can grip the tank with their knees to take some of their weight off their arms. Even braking hard from 70 mph takes a fair bit of upper body strength, and many trackday riders wear themselves out early on by braking hard at every corner, rather then working on higher corner speeds and corner exit.
Braking distances are worked out using the formula (Newton’s Law) :-
Where:
d = distance in feet
v = speed in feet/sec
u = Coefficient of friction between tyre and road (0.7 as used in the Highway Code – which is conservative)
g = force of gravity or 32ft/sec/sec
We’ve also added 0.7 seconds thinking (reaction) time which again is an average figure – you still need time to react to braking markers even on the track, so you need to anticipate where to start braking.
Judging braking distances on the road at high speed can be difficult and very easy to underestimate, which often gets sportsbike riders into trouble. You would probably survive a 30 mph impact, probably not a 40 mph one, so the margin is very small in terms of being able to slow in time.
Road or track you need to be looking well ahead.



Very informative article, thank you.
Eazi Grip tank grips are also a viable alternative, from a UK-based supplier. Highly recommended.
LikeLike